
Odborný recenzovaný článek nabízí srovnání zootechnických a zpracovatelských parametrů při využití krmných směsí obsahujících alternativní zdroje proteinů u prasat v konečné fázi výkrmu.
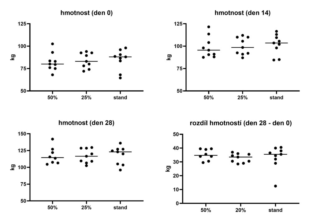
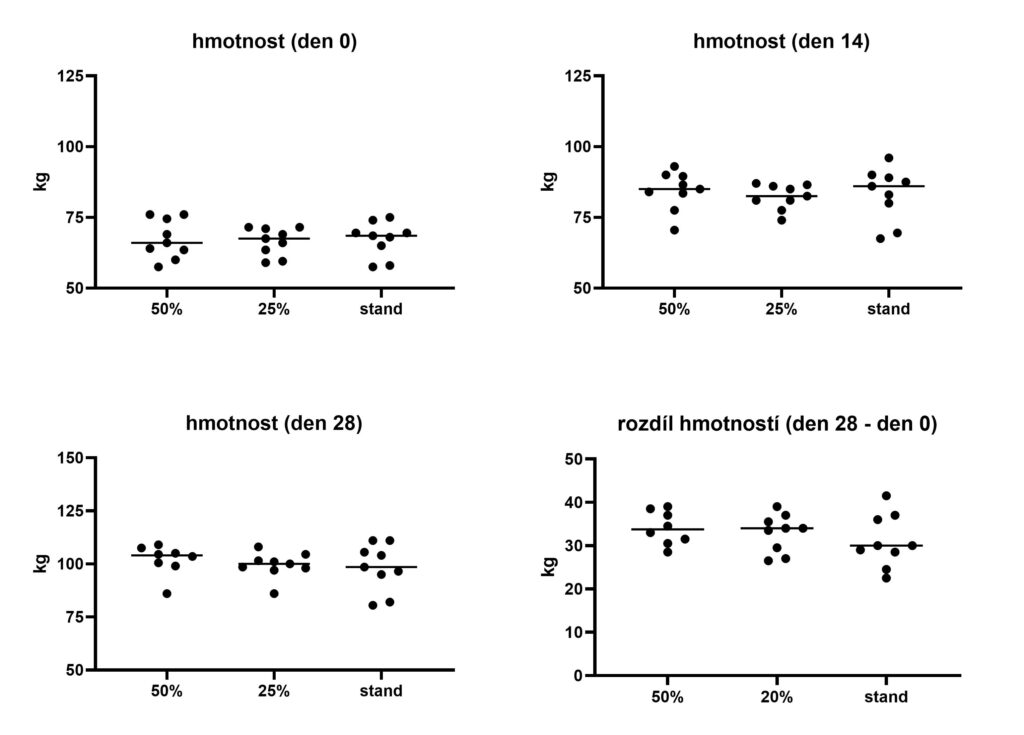
Cílem provedených experimentů bylo připravit krmné směsi pro prasata ve výkrmu s obsahem alternativních zdrojů proteinů – hmyzu (hmyzí moučky z larev mouchy bráněnky) a lupiny (šrot z lupiny bílé odrůda Zulika) a zhodnotit zootechnické a zpracovatelské parametry při jejich podávání pomocí krmného experimentu. Nově připravené krmné směsi byly prasaty dobře přijímány.
Nedošlo ke změně zdravotního stavu prasat ani ke změně ve sledovaných fyziologických parametrech. V případě využití hmyzího proteinu se zootechnické ani zpracovatelské parametry nijak nelišily mezi testovanými skupinami. U krmné směsi s obsahem lupiny se zootechnické parametry jevily u skupiny s 50% náhradou sóji jako lepší oproti standardní skupině. Zpracovatelské parametry se opět nijak nelišily mezi testovanými skupinami. Většímu použití hmyzího proteinu jako alternativního zdroje zatím brání jeho vyšší cena. V případě lupiny je hlavní překážkou náchylnost k fungálnímu onemocnění antrakóza a do značné míry také velký podíl ploch s pěstováním obilovin, včetně kukuřice, a řepky.
Článek vznikl díky finanční podpoře projektu Ministerstva zemědělství NAZV Země II č. QL24020427.
Článek byl odborně recenzován.
Mgr. Petra Straková, Ph.D.1,
Ing. Lenka Levá1,
Ing. Jana Venusová2,
Ing. Martin Jeřábek, Ph.D.2 ,
doc. Bc. Ing. Ondřej Šťastník Ph.D.3,
prof. MVDr. Leoš Pavlata, Ph.D.3,
doc. MVDr. Martin Faldyna, Ph.D.1
1 Výzkumný ústav veterinárního lékařství, v. v. i., Brno
2 Tekro, spol. s r.o., Uničov
3 Ústav výživy zvířat a pícninářství, Mendelu v Brně
Kontakt: petra.strakova@vri.cz
Více v časopise Krmivářství 5/2025.






